EAU 2022丨魏强教授、杨璐副教授团队8项研究成果亮相EAU舞台,唱响“华西好声音”

作者:肿瘤瞭望   日期:2022/7/23 19:40:54  浏览量:17048

肿瘤瞭望版权所有,谢绝任何形式转载,侵犯版权者必予法律追究。

第37届欧洲泌尿外协会(EAU)大会于2022年7月1日-7月4日在荷兰阿姆斯特丹召开。EAU大会是全球规模最大、最具影响力的泌尿学会议之一,展示泌尿学领域最新和最相关的科学进展。本次EAU大会上,四川大学华西医院魏强教授、杨璐副教授团队有多项研究入选会议交流,现汇总如下。

编者按:第37届欧洲泌尿外协会(EAU)大会于2022年7月1日-7月4日在荷兰阿姆斯特丹召开。EAU大会是全球规模最大、最具影响力的泌尿学会议之一,展示泌尿学领域最新和最相关的科学进展。本次EAU大会上,四川大学华西医院魏强教授、杨璐副教授团队有多项研究入选会议交流,现汇总如下。

 
#01
前列腺癌
 
Developing an immune-related gene prognostic index associated with progression and providing new insights into the tumor immune microenvironment of prostate cancer(A0485)
题目:开发一种与前列腺癌进展相关的免疫相关基因预后指数(IGPI),并为前列腺癌的肿瘤免疫微环境提供新的见解(第一作者:冯德超博士)
 
目的:本研究的目的是开发前列腺癌进展相关的基因预后指数(IGPI),并对前列腺癌的肿瘤微环境提供新的见解。
 
方法:我们收集TCGA数据库中的498例患者的基因和预后信息作为训练集,开发出IGPI评分的计算公式,并使用GEO数据库中的前列腺癌数据集作为验证集。
 
结果:在本研究中,我们有以下发现:
 
1. 最终鉴定出TUBB3、WDR62和PPARGC1A以建立IGPI评分。IGPI评分随着Gleason评分、肿瘤T分期、生化复发和前列腺特异性抗原(PSA)的增加而增加。在TCGA和两个GEO数据集中,IGPI评分较高的患者肿瘤进展的风险较高
 
2. 我们将TCGA中498例患者按照IGPI中位值划分为高危组和低危组。基因富集分析(GSEA)显示,高危组患者与错配修复、细胞周期、DNA复制、碱基切除修复、核苷酸切除修复、同源重组和嘧啶代谢相关的通路呈正相关。
 
3. 我们观察到高危组患者的肿瘤突变负担评分和微卫星不稳定性评分明显高于低危组患者。
 
4. 在免疫检查点分析中,ADORA2A、CD80、TNFRSF4、TNFRSF18和TNFRSF25在无进展组和进展组之间有差异表达,且与无进展生存率显著相关。
 
5. 我们观察到IGPI评分与淋巴样免疫细胞数量、M2巨噬细胞数量和免疫评分呈正相关,但与树突状细胞数量、成纤维细胞数量、基质评分和微环境评分呈负相关。
 
6. 泛癌分析表明厄洛替尼可能对TUBB3、PPARGC1A和WDR62敏感。
 
 
结论:在本研究中,我们建立了一个全新的IGPI评分,它可以作为前列腺癌进展相关的独立危险因素。
 
意义:前列腺癌仍然是全球男性的公共卫生优先事项,并且随着世界人口的老龄化,这种疾病的影响将更加显著。转移性去势抵抗性前列腺癌是该疾病的主要死亡原因。前列腺癌的临床异质性反映在空间和克隆基因组多样性上。了解肿瘤细胞与周围微环境之间的通信对转移性去势抵抗性前列腺癌的管理至关重要。因此,开发免疫相关基因标签可能有助于前列腺癌的风险分层,加深对前列腺癌相关免疫微环境的认识。在这种情况下,我们开发了一个与进展相关的免疫相关基因预后指数,并为前列腺癌的肿瘤免疫微环境提供了新的见解。
 
#02
膀胱癌
 
FASN is the key regulator of fatty acid metabolism and related to immunotherapy in bladder cancer(A1066)
题目:脂肪酸代谢相关基因在膀胱癌免疫治疗中的作用(第一作者:熊巧博士)
 
内容:膀胱癌(BC)是全球最常见的10种癌症之一,其主要分为肌层浸润性和非肌层浸润性膀胱癌,随着其发病率和死亡率逐年升高,临床上迫切需要找到新的方法来筛选预后和治疗相关的生物标志物。脂肪酸是脂质代谢的主要中间产物,参与多种代代谢疾病以及癌症的发生发展,脂肪酸代谢分为分解代谢和合成代谢,本研究通过对脂肪酸代谢相关基因的综合分析,建立了以13个脂肪酸代谢相关基因为基础的风险模型,验证了脂肪酸代谢相关基因在膀胱癌预后和免疫浸润中的作用,通过筛选和进一步转录分析确认脂肪酸合酶(FASN)是膀胱癌中脂肪酸代谢的核心基因,且与膀胱癌免疫检查点治疗效果相关,为进一步干预膀胱免疫治疗耐药打下了基础。
 
 
ML324, a JMJD2/KDM4 histone demethylase inhibitor repressed the growth of bladder cancer via miR133a-1/KLF15 regulation(A1078)
题目:组蛋白去甲基化酶JMJD2/KDM4抑制剂ML324通过miR133a-1/KLF15通路抑制膀胱癌生长的研究(第一作者:张嘉鹏博士)
 
研究背景:在临床实践中,肌层浸润膀胱癌患者即便采用手术联合放化疗等一线综合治疗手段,所获得的生长收益仍旧有限,而在膀胱癌中目前尚缺乏有效的靶向治疗手段。在此背景下,我们构建并依托小鼠膀胱肿瘤类器官药物筛选平台,对一系列表观遗传相关小分子抑制剂进行筛选。我们观察到靶向组蛋白去甲基化酶KDM4的小分子抑制剂ML324可在体外显著抑制小鼠、人膀胱肿瘤类器官的生长。为进一步探究其中的机制,我们展开了系列研究分析。
 
研究方法:我们获取了进行根治性膀胱切除术的患者标本构建 PDX 模型或类器官。通过CCK-8对所使用表观遗传化合物库抑制效应进行评估。通过体内腹腔注射给药评估ML324的抑癌作用。并利用CRISPR/Cas9进行类器官基因编辑,以验证ML324的体外功能,最终借由 RNA-seq分析揭示了miR133a-1/KLF15的差异表达,并在TCGA队列进一步探讨了JMJD2/KDM4、miR133a-1、KLF15在膀胱癌中的相关性。
 
研究结果:JMJD2/KDM4抑制剂ML324对体外人、鼠膀胱癌类器官以及体内小鼠膀胱原位始发肿瘤、人源MIBC标本,均表现出良好的生长抑制,且组学分析提示了miR133/KLF轴在其中的潜在作用。
 
 
研究意义:结合膀胱癌中表观遗传相关基因高频突变的现象,及具备较好模拟肿瘤特征的膀胱癌类器官模型,我们发现了ML324抑制剂在体内外良好的肿瘤特异性生长抑制现象。结合表观遗传修饰兼具可逆性、可修饰性的优点,本研究有望为膀胱癌的靶向治疗提供一定的基础实验支撑。
 
Cell softness reveals tumorigenic potential via the F-actin/ITGB8/TRIM59/ATK/mTOR/glycolysis signaling axis in bladder cancer(A0086)
题目:膀胱癌中细胞柔软性通过F-actin/ITGB8/TRIM59/ATK/mTOR/糖酵解信号轴揭示致瘤潜能(第一作者:粟兴洋硕士)
 
背景和目的:膀胱癌是一种复发可能性大、花费昂贵的疾病,需要终身监测和治疗。迄今为止,具有内在柔软性的肿瘤细胞已经被确定为几种类型癌症中的肿瘤干细胞。然而,膀胱肿瘤中是否存在软肿瘤细胞目前尚不明确。
 
研究方法:本研究采用人膀胱癌细胞系T24、人膀胱癌细胞系J22和小鼠膀胱癌细胞系MB49三种细胞进行软肿瘤细胞分离实验,采用两种不同宽度的分选间隙(分别为10 μm和15 μm)的微流控芯片分离出软、硬肿瘤细胞后分别进行了克隆形成实验、Transwell侵袭实验、实时PCR和蛋白免疫印迹、代谢物定量及CRISP-Cas9敲除细胞系的建立。同时,将人类膀胱肿瘤组织分为非复发肿瘤组、原发肿瘤组和复发肿瘤组,进行免疫荧光染色。最后,动物实验中,分别使用MB49细胞和T24细胞对6-8周龄雌性C57BL/6小鼠、NOS-SCID小鼠进行致瘤性分析,并建立MB49原位膀胱癌小鼠模型进行抑瘤性分析。
 
研究结果:使用新设计的微流控方法,我们验证了在膀胱癌细胞中存在一小部分软肿瘤细胞。更重要的是,在临床的人膀胱癌标本中证实了软肿瘤细胞的存在,其中软肿瘤细胞的数量与肿瘤复发相关。此外,我们还证明了3D基质胶产生的生物力学刺激激活F-actin/ITGB8/TRIM59/ATK/mTOR/糖酵解通路,从而增强肿瘤细胞的柔软性和致瘤能力。同时,我们检测到临床复发性肿瘤中ITGB8、TRIM59和磷酸化-ATK显著上调。
 
结论:值得注意的是,软性肿瘤细胞在变硬后对化疗变得更加敏感,这为阻碍膀胱肿瘤的进展和复发提供了新的见解。
 
 
文章意义:非肌肉浸润性膀胱癌(NMIBC)约占膀胱癌的70-75%,其复发率高,监测和预防NMIBC的复发和进展需要进一步关注。细胞在形态、粘附、增殖和硬度等行为和功能在不同细胞外基质条件下发生相应改变以适应各种机械微环境。在肿瘤中,存在其机械微环境的异质性导致具有不同刚度的细胞共存并显示出不同的致瘤潜能的情况。到目前为止,还缺乏直接的证据表明软性肿瘤细胞有助于膀胱癌的复发。
 
该研究确认了膀胱癌细胞中存在软肿瘤细胞,并在临床标本中发现软肿瘤细胞的数量与肿瘤复发相关,这从生物力学角度探索了肿瘤发生发展的可能机制。经过探索 F-actin/ITGB8/TRIM59/ATK/mTOR/糖酵解通路可能为膀胱软性肿瘤细胞诱导的肿瘤发生和复发的分子机制,这也为消除肿瘤和抑制膀胱癌复发提供新的治疗途径。
 
#03
前列腺增生
 
Comparison of the efficacy and safety of minimally invasive simple prostatectomy and endoscopic enucleation of prostate for large benign prostatic hyperplasia: A systematic review and meta-analysis(A0173)
文献荟萃:微创单纯前列腺切除术与内镜前列腺剜除术治疗大体积前列腺的疗效与安全性(第一作者:李金泽博士)
 
目的:目前的指南推荐开放单纯前列腺切除术 (OSP) 作为是大体积(前列腺体积>80 mL)良性前列腺增生(BPH)的金标准手术,但它具有较高的术后并发症和较长的住院时间。在微创泌尿外科时代,以机器人或腹腔镜入路为代表的微创单纯前列腺切除术(MISP)和内镜下前列腺剜除术(EEP) 都被认为是开放手术的替代方案,但对于哪种方法最合适,并没有达成共识。本研究旨在结合现有临床研究系统比较MISP和EEP治疗大体积BPH的疗效和安全性,为临床实践提供最新证据。
 
方法:本研究根据 PRISMA准则进行,并在PROSPERO上预先注册(CRD42021239950)。我们对PubMed、Embase、Web of Science 和 ClinicalTrials.gov 数据库进行了全面搜索,以确定从数据库建立到 2021 年 10 月以英文发表的比较 MISP 与 EEP 治疗大体积BPH的研究,比较临床疗效和安全性结果等临床参数的差异,使用Stata 14.0进行合并分析。
 
结果:本meta分析纳入了8项比较试验,共涉及1504 名患者。与MISP相比,EEP的血红蛋白减少量更少(p=0.001),手术时间(p=0.0006)、插入时间(p<0.001) 及住院时间 (p<0.001)更短。然而,两组之间的总体并发症发生率和输血率都没有差异。此外,两种手术方式在术后3个月的残余尿量和生活质量评分、术后3个月和6个月的国际前列腺症状评分(IPSS)和最大尿流率方面无明显差异,而在术后6个月时EEP则具有更少的残余尿量(p<0.001)。
 
 
结论:MISP和EEP均是治疗大体积BPH的有效、安全的手术方式。与MISP相比,EEP可能具有更好的围手术期结局。由于研究之间存在较高的异质性,对此结果应谨慎看待。当前,大体积BPH的治疗方案选择应基于外科医生的技术熟练度和手术设备的可用性。
 
#04
肾结石
 
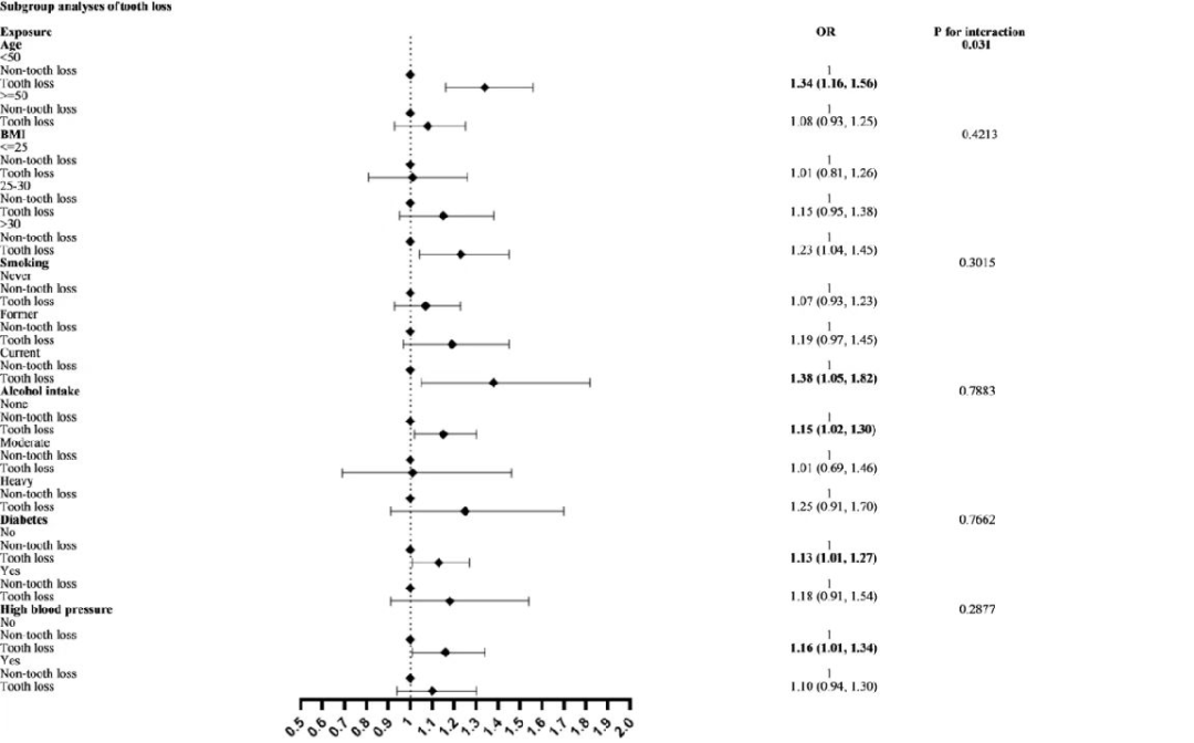
Kidney stones are associated with the higher risk of tooth loss(A0920)
题目:肾结石与较高的牙齿脱落风险有关(第一作者:王金宝硕士)
 
内容:肾结石是世界范围内高度流行的疾病,北美发病率为 7% 至 13%,欧洲为 5% 至 9%,亚洲为 1% 至 5%。5-10年内复发率为50%,20年内复发率为75%。有研究表明,肾结石患者的血清钙和维生素D水平高于相应的健康个体,提示结石形成是钙和维生素D调节改变的表现。一些现有的流行病学研究表明,肾结石与饮食、肥胖、糖尿病、高血压、种族和地理有关。至于牙齿脱落这一严重影响口腔健康的世界性公共卫生问题,其主要原因是慢性牙周炎和龋齿。研究表明,从流行病学层面来看,高血压、糖尿病、肥胖、吸烟、饮酒与牙齿脱落密切相关。因此,本研究旨在调查牙齿脱落与肾结石之间的相关性。
 
我们使用了 2007 年至 2016 年全国健康和营养调查的数据。本研究纳入年龄≥30 岁且有完整和详细的肾结石和牙齿脱落病史的参与者。对参与者进行了问卷调查,暴露的是牙齿脱落。首先,会询问参与者是否有牙齿脱落和牙周炎病史,然后进行专门的口腔检查。对于掉牙的人,我们会进一步询问更多细节。这项研究的结果是肾结石。当这个问题的答案是肯定的,“你有没有肾结石?”,则认为患者有肾结石病史。
 
我们的研究共有 25595 名参与者。在结石人群中,BMI大于30、吸烟、合并症较多的人群较多。我们的研究表明牙齿脱落和肾结石之间存在关系。失去牙齿的参与者患肾结石的风险更高(粗略模型,OR 1.56, 95% CI 1.42, 1.72 p<0.0001)。即使调整了潜在的混杂因素,相关性仍然相对稳定。对牙齿脱落与肾结石相关性的分层分析显示,牙齿脱落的参与者患肾结石的风险更高,并且在<50岁的人群中相关性更高,与>50岁的人群相同。亚组分析显示,目前吸烟者在牙齿脱落和结石之间具有更高的相关性。在严重牙齿脱落与结石关系的亚组分析中,牙齿脱落与结石也呈现出较高的相关性,这种相关性在糖尿病和高血压患者中更为显着。那么,有哪些可能的解释呢?我们认为可能的解释之一是钙和维生素D代谢失衡。随着年龄的增长,骨质疏松性骨折的风险越来越大,尤其是50岁以上的人群。体内钙和维生素D的缺乏进一步加剧了牙周病的发生。然后,使用钙和维生素D补充剂会增加高钙尿症和高钙血症的风险,从而导致肾结石。另一种解释是牙齿脱落引起的炎症。在患有牙周炎的牙齿脱落患者中,来自牙周炎的微生物可能会进入血液并引起全身或局部的炎症变化,最终通过多种危险因素加剧肾结石的形成。
 
 
综上所述,在我们的研究中,牙齿脱落与较高的结石风险之间存在很强的关联,即使在调整了潜在的混杂因素后,结果仍保持稳定。在亚组分析中,目前吸烟者与牙齿脱落和结石的相关性更高,并且在糖尿病和高血压患者中相关性更为显着。
 
#05
其它
 
Association between Testosterone and Serum Soluble α-Klotho in U.S. Males: NHANES 2011-2016(A0395)
题目:美国男性睾酮水平与血清可溶性α-Klotho的关系:基于NHANES数据库的研究(第一作者:张子龙博士)
 
研究内容:Klotho是由衰老抑制基因Klotho编码的单通道跨膜蛋白。Klotho包含一个短的胞间结构域和两个序列相似性高的长胞外结构域。由ADAM10和ADAM17切割的胞外结构域可以释放并鉴定为可溶性Klotho,可用于反映肾脏Klotho的表达。缺乏α-Klotho被证实与多种衰老相关疾病如心血管疾病、癌症、2型糖尿病和慢性肾病相关,与全因死亡率之间也有很强的关系。睾酮水平随年龄增长而生理上下降。50多岁的男性中,有7%的人可以被诊断为睾酮缺乏,这可能增加罹患与衰老相关的疾病包括心血管疾病、糖尿病、低瘦体重和代谢综合征的风险。本研究纳入了来自于2011-2016年NHANES研究的3750个对象,在调整后的模型中,总睾酮每增加1 ng/dL, klotho增加0.165 pg/mL (p = 0.004)。研究发现了美国男性的klotho水平随着总睾酮、雌二醇和性激素结合球蛋白水平的增加而增加。这一发现可能在人口结构老龄化的社会中对于男性性激素水平衰减的病人的筛查提供方向,以及对于这一部分病人的治疗提供可能的靶点。
 
 
Association between dietary inflammatory index and urinary flow rate: A nationwide study, nhanes 2009-2016(A0838)
题目:炎症饮食对美国14-60岁人群排尿功能水平的影响,基于NHANES数据库的研究(第一作者:李一璠博士)
 
背景与目的:尿流率(urinary flow rate, UFR)作为无创的经济型排尿功能筛查指标广为应用。现有研究表明饮食营养成分和炎症因子可能影响排尿功能。然而,饮食成分与UFR之间的相关性尚不清楚。因此,我们研究的主要目的是评估以饮食炎症指数(dietary inflammation index, DII)为标准的饮食方式与尿流率之间的关系。
 
方法:我们使用2009年至2016年美国国家健康和营养检查调查(National Health and Nutrition Examination Survey, NHANES)的数据进行横断面分析。因变量和自变量分别为尿流率(UFR)和饮食炎症指数(DII)的评分。通过24小时饮食回顾收集饮食信息,计算DII的得分。根据DII得分情况将参与者进行三分组,分别按照性别、年龄、种族、BMI、收入水平、饮酒习惯、婚姻状况等进行分层,运用多元线性回归模型分析尿流率与饮食炎症指数之间的关系。
 
结果:该研究包括17114名参与者,平均年龄为35.68(±20.96)岁,其中男性10985例(64.19%);女性6129例(35.81%)。研究结果显示:DII得分较高的参与者UFR水平较低(β=-0.03;95%Cl:[-0.04–-0.01]),即使调整了相关混杂因素,二者相关性依然存在。此外,趋势性检验结果同样显示:DII得分越高,UFR下降的风险显著增加(p<0.001)。
 
 
结论与意义:我们的研究结果显示,促炎饮食成分的摄入增加,即更高的DII得分,与尿流率呈明负显相关。该结果提示我们促炎成分的摄入,对于排尿功能障碍具有较高风险,有助于公共卫生系统从膳食成分体系方面为预防和及时干预下尿路排尿问题提供一级建议。
 
 
魏强 教授
 
四川大学华西医院
 
主任医师、博士生导师
 
四川大学华西医院泌尿外科
 
中华医学会泌尿外科学分会副主任委员
 
中华医学会泌尿外科分会基层学组组长
 
中国医师协会泌尿外科分会副会长
 
中国医师协会机器人医师分会常委
 
中国临床肿瘤学会CSCO前列腺癌专委会副主任委员
 
四川省泌尿外科质量控制中心主任
 
四川省医学会泌尿外科分会主任委员及微创学组组长
 
主编、副主编国家“十二五”规划教材及高等医学院校教材等5部
 
“金膀胱镜奖”及“吴阶平泌尿外科医学奖”获得者
 
 
杨璐 副教授
 
四川大学华西医院
 
副教授、博士生导师
 
四川大学华西医院泌尿外科副主任
 
UCLA分子药理学/泌尿外科学博士后,USC高级访问学者,将才工程第33期(精英班)成员
 
中华医学会泌尿外科学分会CUA基层学组委员兼秘书长
 
中华医学会泌尿外科学分会CUA基础学组委员
 
中国中西医结合学会泌尿外科分会青年委员
 
中国医促会泌尿健康促进分会青年委员
 
中国中西医结合学会泌尿外科分会肿瘤学组委员
 
四川省卫健委学术技术带头人后备人选
 
四川省医学会泌尿外科专委会青委会副主任委员
 
四川省医疗卫生与健康促进会副主任委员
 
四川省卫健委泌尿外科医疗质控中心专家兼秘书
 

本内容仅供医学专业人士参考


EAU 2022

分享到: 更多